Courses Aux Nombres 2024 Voir la rubrique

Arrow up
Arrow down
  • Bienvenue
  • Sur ce site
  • Bienvenue

    Ce site va vous aider à développer vos compétences pour une réussite en mathématiques au lycée.
    Les documents sont également disponibles pour les enseignants pour faire la classe.

  • Sur ce site

    • Des activités mentales chronométrées pour travailler les automatismes et la rapidité;
    • Les QCM et automatismes des E3C numérisés pour préparer les examens;
    • Des fiches d'entrainement pour progresser et les corrigés très détaillés
    • Des conseils, méthodes et des savoir-faire;
    • Des cours complets, des exercices avec des vidéos.
    • Les Courses Aux Nombres (CAN) pour travailler le calcul mental.

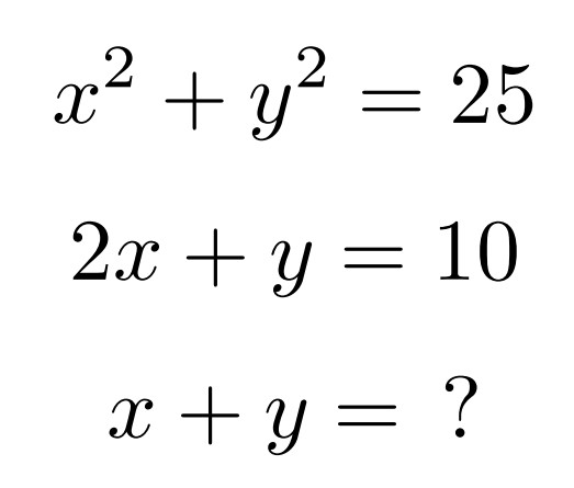
Combien vaut la somme ?

Visites

Who's Online

Nous avons 127 invités et aucun membre en ligne

Compteur d'affichages des articles
1809825